1. Teori dan Pengertian
Ini adalah salah satu jenis rangkaian logika sekuensial yang menyimpan informasi biner secara bitwise. Terdiri dari dua masukan dan dua keluaran. Inputnya adalah Set(J) & Reset(K) dan outputnya adalah Q dan Q'. Flipflop JK memiliki dua mode operasi yaitu mode sinkron dan mode asinkron. Dalam mode sinkron, keadaan akan diubah dengan sinyal jam (clk), dan dalam mode asinkron, perubahan keadaan tidak bergantung pada sinyal jamnya.
Gerbang AND adalah gerbang logika dasar yang mengeksekusi perkalian logika masukan biner. Operasi AND dilakukan dengan cara yang sama seperti perkalian standar 1 dan 0. Gerbang AND adalah rangkaian logika yang melakukan operasi AND pada masukan rangkaian. Jika semua masukan adalah 1, Gerbang AND mengeluarkan keluaran 1, jika tidak maka keluarannya 0. Titik (.) menunjukkan operasi AND.
D. Gerbang AND
Gerbang AND adalah gerbang logika dasar yang mengeksekusi perkalian logika masukan biner. Operasi AND dilakukan dengan cara yang sama seperti perkalian standar 1 dan 0. Gerbang AND adalah rangkaian logika yang melakukan operasi AND pada masukan rangkaian. Jika semua masukan adalah 1, Gerbang AND mengeluarkan keluaran 1, jika tidak maka keluarannya 0. Titik (.) menunjukkan operasi AND.
E. Seven segment
Tampilan tujuh segmen merupakan perangkat tampilan keluaran yang menyediakan cara untuk menampilkan informasi dalam bentuk gambar atau teks atau angka desimal yang merupakan alternatif dari tampilan dot matriks yang lebih kompleks. Ini banyak digunakan pada jam digital, kalkulator dasar, meteran elektronik, dan perangkat elektronik lainnya yang menampilkan informasi numerik. Ini terdiri dari tujuh segmen dioda pemancar cahaya (LED) yang dirangkai seperti angka 8.2. Percobaan Rangkaian dan Penjelasannya
A. Alat dan Bahan
a. Perangkat Lunak Proteus, adalah perangkat lunak yang digunakan untuk otomatisasi desain elektronik. Perangkat lunak ini digunakan terutama oleh insinyur dan teknisi desain elektronik untuk membuat skema dan cetakan elektronik untuk pembuatan PCB
.jpg)
B. Rangkaian
a. Rangkaian 1
C. Prosedur
a. Siapkan semua alat dan bahan di dalam perangkat lunak aplikasi Proteus, yang tersedia di masing - masing sektornya
b. Rangkailah komponen - komponen tadi dengan cara menyambungkannya dengan "wire"
c. Jika sudah benar semua, klik tombol "play", dan jika sudah selesai atau ingin mengubah rangkaian, maka klik tombol "stop"
Rangkaian terdiri dari dua sumber yang berbeda jenis. Maka digunakanlah teorema Superposisi untuk menganalisisnya. Dimulai dari "mematikan" sumber AC menjadi rangkaian hubung singkat, maka hasil analisis adalah:
Untuk mencari nilainya, digunakan persamaan:
Lalu, baru dilakukan kalkulasi untuk mencari nilai - nilai besaran lain dalam rangkaian yang bersumber daya AC. Perhatikan bahwa hasil kalkulasi dibawah ini mempunyai kata "peak"/"puncak", dikarenakan tegangan masuk(2V) yang digunakan adalah tegangan puncak.
Setelah itu, hasil dari perhitungan 2 jenis rangkaian tadi, yaitu vR andvD dikombinasikan atau dijumlahkan, lalu menghasilkan bentuk gelombang seperti berikut:
E. Video Simulasi
3. Contoh
A. Sebuah tegangan AC dengan nilai puncak 20 V dihubungkan secara seri dengan dioda dan resistansi beban 500 Ω. Jika hambatan maju dioda adalah 10 Ω, tentukan arus puncak yang melalui dioda?
Solusi:
Tegangan input puncak = 20 V
Tahanan maju, rf = 10 Ω
Resistansi beban, RL= 500 Ω
Tegangan, V0 = 0,7 V
Dioda akan mengalirkan arus selama setengah siklus positif AC tegangan masukan saja.
Arus puncak akan melalui dioda pada saat tegangan input mencapai puncak positif yaitu Vin = VF = 20 V.
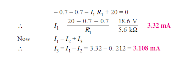
B. Temukan arus yang melalui dioda di sirkuit yang ditunjukkan pada gambar.
Gunakan teorema Thevenin untuk menemukan arus pada dioda
Kedua dioda D1 dan D2 dibias maju. Dengan menggunakan model dioda yang disederhanakan,maka rangkaian akan menjadi seperti:
4. Permasalahan
A. Dioda ideal dan resistor 5 Ω dihubungkan secara seri dengan catu daya 15 V seperti yang ditunjukkan pada gambar di bawah ini. Hitung arus yang mengalir melalui dioda.
Solusi:
Dioda bias maju dan ini adalah yang ideal. Oleh karena itu, ia bertindak seperti sakelar tertutup tanpa tegangan penghalang. Oleh karena itu, arus yang mengalir melalui dioda dapat dihitung menggunakan hukum Ohm.
V = IR
I = V/R = 15/5 = 3 A
B. Anggap dioda ideal. Tentukan nilai arus yang mengalir melalui AB.
Solusi:
Dengan memakai hukum ohm, maka:
C. Temukan arus melalui dioda Zener ketika resistansi beban 1 KΩ. Gunakan perkiraan dioda.
Voltage across AB is VZ = 9V
Voltage drop across R = 15 - 9 = 6V
Therefore current through the resistor R,
I = 6 / 1×103 =6 mA
Voltage across the load resistor = VAB = 9V
Current through load resistor
IL = VAB/RL = 9 / 2×103 = 4.5 mA
The current through the Zener diode,
IZ = I −IL =6 mA− 4.5mA =1.5 mA
.
5. Soalan Pilihan Ganda
A. Penurunan tegangan maju pada dioda silikon adalah sekitar
a) 2.5 V
b) 3 V
c) 10 V
d) 0.7 V
Jawaban : (d)
a) Tetap sama
b) Berkurang
c) Meningkat
d) Tidak satupun di atas
Jawaban : (c)
C. Apa yang terjadi pada dioda ketika tegangan positif diterapkan pada anoda
a) Dioda diberi bias maju
b) Dioda mulai konduksi
c) Daerah penipisan menjadi lebih kecil
d) Semua yang diatas
Jawaban : (a)
6. Unduh Berkas
Unduh video simulasi
Unduh file rangkaian Proteus


























Tidak ada komentar:
Posting Komentar